POLS 1600

Quantifying uncertainty:
Confidence Intervals &
Hypothesis Tests

Updated Apr 22, 2025

Overview

Class Plan

  • Announcements
  • Topics:
    • Sampling distributions and standard errors (15 minutes)
    • Confidence intervals (15 minutes )
    • Hypothesis testing (15 minutes)
    • Quantifying uncertainty for regression (15 minutes)
    • Lab 8 (Finally)

Announcements

  • Final lab this week.

  • Next week’s lecture:

    • Workshop/Review/special topics
    • Ask questions in the survey
  • Next week’s lab:

    • Work on draft (A3 leading into A4)

Setup: Packages for today

## Pacakges for today
the_packages <- c(
  ## R Markdown
  "kableExtra","DT","texreg","htmltools",
  ## Tidyverse
  "tidyverse", "lubridate", "forcats", "haven", "labelled",
  ## Extensions for ggplot
  "ggmap","ggrepel", "ggridges", "ggthemes", "ggpubr", 
  "patchwork",
  "GGally", "scales", "dagitty", "ggdag", "ggforce",
  # Data 
  "COVID19","maps","mapdata","qss","tidycensus", "dataverse", 
  # Analysis
  "DeclareDesign", "easystats", "zoo", "boot", "modelr" ,"purrr"
)

## Define a function to load (and if needed install) packages

ipak <- function(pkg){
    new.pkg <- pkg[!(pkg %in% installed.packages()[, "Package"])]
    if (length(new.pkg)) 
        install.packages(new.pkg, dependencies = TRUE)
    sapply(pkg, require, character.only = TRUE)
}

## Install (if needed) and load libraries in the_packages
ipak(the_packages)
   kableExtra            DT        texreg     htmltools     tidyverse 
         TRUE          TRUE          TRUE          TRUE          TRUE 
    lubridate       forcats         haven      labelled         ggmap 
         TRUE          TRUE          TRUE          TRUE          TRUE 
      ggrepel      ggridges      ggthemes        ggpubr     patchwork 
         TRUE          TRUE          TRUE          TRUE          TRUE 
       GGally        scales       dagitty         ggdag       ggforce 
         TRUE          TRUE          TRUE          TRUE          TRUE 
      COVID19          maps       mapdata           qss    tidycensus 
         TRUE          TRUE          TRUE          TRUE          TRUE 
    dataverse DeclareDesign     easystats           zoo          boot 
         TRUE          TRUE          TRUE          TRUE          TRUE 
       modelr         purrr 
         TRUE          TRUE 

Goals:

  • A sampling distribution is a theoretical distribution of estimates obtained in repeated sampling

    • What could have happened?
  • A standard error (SE) is the standard deviation of the sampling distribution

  • We can calculate SEs via simulation and analytically

  • We can use SEs to construct confidence intervals and conduct hypothesis tests allowing us to quantify uncertainty

Sampling distributions and standard errors

Populations and samples

  • Population: All the cases from which you could have sampled

  • Parameter: A quantity or quantities of interest often generically called θ (“theta”). What we want to learn about our population

  • Sample: A (random) draw of observations from that population

  • Sample Size: The number of observations in your draw (without replacement)

Estimators, estimates, and statistics

  • Estimator: A rule for calculating an estimate of our parameter of interest.

  • Estimate: The value produced by some estimator for some parameter from some data. Often called θ^

  • Unbiased estimators: E(θ^)=E(θ) On average, the estimates produced by some estimator will be centered around the truth

  • Consistent estimates: limn→∞θ^N=θ As the sample size increases, the estimates from an estimator converge in probability to the parameter value

  • Statistic: A summary of the data (mean, regression coefficient, R2). An estimator without a specified target of inference

Distrubtions and standard errors

  • Sampling Distribution: How some estimate would vary if you took repeated samples from the population

  • Standard Error: The standard deviation of the sampling distribution

  • Resampling Distribution: How some estimate would vary if you took repeated samples from your sample WITH REPLACEMENT

    • “Sampling from our sample, as the sample was sampled from the population.”

Sampling distributions

  • Overview
  • Code
  • N = 10
  • N = 30
  • N = 300
  • Comments
  • Treat the 2024 NES pilot as the population

  • Take repeated samples of size N = 10, 30, 300

  • For each sample of size N, calculate the sample mean of age

  • Plot the distribution of sample means (i.e. the sampling distribution)

# Load Data
load(url("https://pols1600.paultesta.org/files/data/nes24.rda"))

# ---- Population ----

# Population average
mu_age <- mean(df$age, na.rm=T)
# Population standard deviation
sd_age <- sd(df$age, na.rm = T)

# ---- Function to Take Repeated Samples From Data ----

sample_data_fn <- function(
    dat=df, var=age, samps=1000, sample_size=10,
    resample = F){
  if(resample == F){
  df <- tibble(
  sim = 1:samps,
  distribution = "Sampling",
  size = sample_size,
  sample_from = "Population",
  pop_mean = dat %>% pull(!!enquo(var)) %>% mean(., na.rm=T),
  pop_sd = dat %>% pull(!!enquo(var)) %>% sd(., na.rm=T),
  se_asymp = pop_sd / sqrt(size),
  ll_asymp = pop_mean - 1.96*se_asymp,
  ul_asymp = pop_mean + 1.96*se_asymp,
) %>% 
  mutate(
    sample = purrr::map(sim, ~ slice_sample(dat %>% select(!!enquo(var)), n = sample_size, replace = F)),
    sample_mean = purrr::map_dbl(sample, \(x) x %>% pull(!!enquo(var)) %>% mean(.,na.rm=T)),
    ll = sample_mean - 1.96*sd(sample_mean),
    ul = sample_mean + 1.96*sd(sample_mean)
  )
  }
  if(resample == T){
    df <- tibble(
  sim = 1:samps,
  distribution = "Resampling",
  size = sample_size,
  sample_from = "Sample",
  pop_mean = dat %>% pull(!!enquo(var)) %>% mean(., na.rm=T),
  pop_sd = dat %>% pull(!!enquo(var)) %>% sd(., na.rm=T),
  se_asymp = pop_sd / sqrt(size),
  ll_asymp = pop_mean - 1.96*se_asymp,
  ul_asymp = pop_mean + 1.96*se_asymp,
) %>% 
  mutate(
    sample = purrr::map(sim, ~ slice_sample(dat %>% select(!!enquo(var)), n = sample_size, replace = T)),
    sample_mean = purrr::map_dbl(sample, \(x) x %>% pull(!!enquo(var)) %>% mean(.,na.rm=T))
  )
  }
  return(df)
}

# ---- Plot Single Distribution -----

plot_distribution <- function(the_pop,the_samp, the_var, ...){
  mu_pop <- the_pop %>% pull(!!enquo(the_var)) %>% mean(., na.rm=T)
  mu_samp <- the_samp %>% pull(!!enquo(the_var)) %>% mean(., na.rm=T)
  ll <- the_pop %>% pull(!!enquo(the_var)) %>% as.numeric() %>%  min(., na.rm=T)
  ul <- the_pop %>% pull(!!enquo(the_var)) %>% as.numeric() %>% max(., na.rm=T)
  p<- the_samp %>% 
    ggplot(aes(!!enquo(the_var)))+
    geom_density()+
    geom_rug()+
    theme_void()+
    geom_vline(xintercept = mu_samp, col = "red")+
    geom_vline(xintercept = mu_pop, col = "grey40",linetype = "dashed")+
    xlim(ll,ul)
  return(p)
}

# ---- Plot multiple distributions ----

plot_samples <- function(pop, x, variable,n_rows = 4, ...){
  sample_plots <- x$sample[1:(4*n_rows)] %>% 
  purrr::map( \(x) plot_distribution(the_pop=pop, the_samp = x, 
                                     the_var = !!enquo(variable)))
  p <- wrap_elements(wrap_plots(sample_plots[1:(4*n_rows)], ncol=4))
  return(p)
  
}

# ---- Plot Combined Figure ----

plot_figure_fn <- function(
    d=df, 
    v=age, 
    sim=1000, 
    size=10,
    rows = 4){
  # Population average
  mu <- d %>% pull(!!enquo(v)) %>% mean(., na.rm=T)
  sd <- d %>% pull(!!enquo(v)) %>% sd(., na.rm=T)
  se <- sd/sqrt(size)
  # Range
  ll <- d %>% pull(!!enquo(v)) %>% as.numeric() %>%  min(., na.rm=T)
  ul <- d %>% pull(!!enquo(v)) %>% as.numeric() %>% max(., na.rm=T)
  # Population standard deviation
  # Sample data
  samp_df <- sample_data_fn(dat=d, var = !!enquo(v), samps = sim, sample_size = size)
  # Plot Population
  p_pop <- d %>%
    ggplot(aes(!!enquo(v)))+
      geom_density(col ="grey60")+
      geom_rug(col = "grey60", )+
      geom_vline(xintercept = mu, col="grey40", linetype="dashed")+
      theme_void()+
      labs(title ="Population")+
      xlim(ll,ul)+
      theme(plot.title = element_text(hjust = 0))

  
  p_samps <- plot_samples(pop=d, x= samp_df,variable = !!enquo(v),
                          n_rows = rows)
  p_samps <- p_samps + 
    ggtitle(paste("Repeated samples of size N =",size,"from the population"))+
    theme(plot.title = element_text(hjust = 0.5), 
          plot.background = element_rect(
            fill = NA, colour = 'black', linewidth = 2)
          )
  
  
  p_dist <- samp_df %>% 
  ggplot(aes(sample_mean))+
  geom_density(col="red",aes(y= after_stat(ndensity)))+
  geom_rug(col="red")+
  geom_density(data = df, aes(!!enquo(v), y= after_stat(ndensity)),
               col="grey60")+
  geom_vline(xintercept = mu, col="grey40", linetype="dashed")+
  xlim(ll,ul)+
  theme_void()+
    labs(
      title = "Sampling Distribution"
    )+  theme(plot.title = element_text(hjust = 0))
  
  range_upper_df <- tibble(
  x = seq( ((ll+ul)/2 -5), ((ll+ul)/2 +5), length.out = 20),
  xend = seq(ll-5, ul+5, length.out = 20),
  y = rep(9, 20),
  yend = rep(1, 20)
)
p_upper <- range_upper_df %>% 
  ggplot(aes(x=x, xend = xend, y=y,yend=yend))+
  geom_segment(
    arrow = arrow(length = unit(0.05, "npc"))
  )+
  theme_void()+
  coord_fixed(ylim=c(0,10),
              xlim =c(ll-5,ul+5),clip="off")
  # Lower
  range_df <- samp_df %>% 
  summarise(
    min = min(sample_mean),
    max = max(sample_mean),
    mean = mean(sample_mean)
  )
  
  plot_df <- tibble(
  id = 1:50,
  # x = sort(rnorm(50, mu, sd)),
  x = sort(runif(50, ll, ul)),
  xend = sort(rnorm(50, mu, se)),
  y = 9,
  yend = 1
)

p_lower <- plot_df %>%
  ggplot(aes(x,y, group =id))+
  geom_segment(aes(xend=xend, yend=yend),
               col = "red",arrow = arrow(length = unit(0.05, "npc"))
               )+
  theme_void()+
  coord_fixed(ylim=c(0,10),xlim = c(ll,ul),clip="off")

  
  design <-"##AAAA##
            ##AAAA##
            ##AAAA##
            BBBBBBBB
            BBBBBBBB
            #CCCCCC#
            #CCCCCC#
            #CCCCCC#
            #CCCCCC#
            DDDDDDDD
            DDDDDDDD
            ##EEEE##
            ##EEEE##
            ##EEEE##"
  
  fig <- p_pop / p_upper / p_samps / p_lower / p_dist +
    plot_layout(design = design)
  return(fig)


  
  
  
}

# ---- Samples and Figures Varying Sample Size ----
## N = 10
set.seed(1234)
samp_n10 <- sample_data_fn(sample_size  = 10, samps = 1000)
set.seed(1234)
fig_n10 <- plot_figure_fn(v=age,size = 10)

## N = 30
set.seed(1234)
samp_n30 <- sample_data_fn(sample_size  = 30, samps = 1000)
set.seed(1234)
fig_n30 <- plot_figure_fn(size = 30,rows=4)

## N = 300
set.seed(1234)
samp_n300 <- sample_data_fn(sample_size  = 300, samps = 1000)
set.seed(1234)
fig_n300 <- plot_figure_fn(size = 300)

As the sample sample size increases:

  • The width of the sampling distribution decreases (LLN)

  • The shape of the sampling distribution approximates a Normal distribution (CLT)

Standard errors

  • Overview
  • Code
  • SEs
  • Coverage
  • The standard error (SE) is simply the standard deviation of the sampling distribution.

  • The SE decreases as the sample size increases (by the LLN):

  • Approximately 95% of the sample means will be within 2 SEs of the population mean (CLT)

se_df <- tibble(
  `Sample Size` = factor(paste("N =",c(10,30, 300))),
  se = c(sd(samp_n10$sample_mean),
         sd(samp_n30$sample_mean),
         sd(samp_n300$sample_mean)),
  SE = paste("SE =", round(se,2)),
  ll = mu_age,
  ul = mu_age + se,
  y = c(.3,.3,.45),
  yend = y
)

ci_df <- tibble(
  `Sample Size` = factor(paste("N =",c(10,30, 300))),
  se = c(sd(samp_n10$sample_mean),
         sd(samp_n30$sample_mean),
         sd(samp_n300$sample_mean)),
  mu = mu_age,
  ll = round(mu_age - 1.96 *se,2),
  ul = round(mu_age + 1.96 *se,2),
  ci = paste("95 % Coverage Interval [",ll,";",ul,"]",sep=""),
  y = c(.3,.3,.45),
  yend = y
)
sim_df <- samp_n10 %>% 
  bind_rows(samp_n30) %>% 
  bind_rows(samp_n300) %>% 
  mutate(
    `Sample Size` = factor(paste("N =",size))
    ) %>% 
  left_join(ci_df) %>% 
  mutate(
    Coverage = case_when(
      sample_mean > ll_asymp & sample_mean < ul_asymp  & size == 10~ "#F8766D",
      sample_mean > ll_asymp & sample_mean < ul_asymp  & size == 30~ "#00BA38",
      sample_mean > ll_asymp & sample_mean < ul_asymp  & size == 300~ "#619CFF",
      T ~ "grey"
    )
  )



fig_se <- sim_df %>% 
  ggplot(aes(sample_mean, col = `Sample Size`))+
  geom_density()+
  geom_rug()+
  geom_vline(xintercept = mu_age, linetype = "dashed")+
  theme_minimal()+
  facet_wrap(~`Sample Size`, ncol=1)+
  ylim(0,.5)+
  guides(col="none")+
  geom_segment(
    data = se_df,
    aes(x= ll, xend =ul, y = y, yend = yend)
  )+
  geom_text(
    data = se_df,
    aes(x = ul, y =y, label = SE),
    hjust = -.25
  ) +
  labs(
    y = "",
    x = "Sampling Distributions of Sample Means",
    title = "Standard Errors decrease with Sample Size"
  )

fig_coverage <- sim_df %>% 
  ggplot(aes(sample_mean,col=`Sample Size`))+
  geom_density()+
  geom_rug(col=sim_df$Coverage)+
  geom_vline(xintercept = mu_age, linetype = "dashed")+
  theme_minimal()+
  facet_wrap(~`Sample Size`, ncol=1)+
  ylim(0,.55)+
  guides(col="none")+
  geom_segment(
    data = ci_df,
    aes(x= ll, xend =ul, y = y, yend = yend)
  )+
  geom_text(
    data = ci_df,
    aes(x = mu, y =y, label = ci),
    hjust = .5,
    nudge_y =.1
  ) +
  labs(
    y = "",
    x = "Sampling Distributions of Sample Means",
    title = "Approximately 95% of sample means are within 2 SE of the population mean"
  )

How do we calculate a standard error from a single sample?

Calculating standard errors

  • Two Approaches
  • N = 10
  • N = 30
  • N = 300
  • Simulation vs Analytic
  • Simulation:
    • Treat sample as population
    • Sample with replacement (“bootstrapping”)
    • Estimate SE from standard deviation of resampling distribution (“plug-in principle”)
  • Analytic
    • Characterize sampling distribution from sample mean and variance via asymptotic theory (the LLT and CLT)
    • For a sample mean, x¯

SEx¯=σx(n)

plot_resampling_fn <- function(d=df, v=age, sim=1000, size=10,rows=3){
  # Population average
  mu <- d %>% pull(!!enquo(v)) %>% mean(., na.rm=T)
  # Population standard deviation and SE
  sd <- d %>% pull(!!enquo(v)) %>% sd(., na.rm=T)
  se <- sd/sqrt(size)
  # Range
  ll <- d %>% pull(!!enquo(v)) %>% as.numeric() %>%  min(., na.rm=T)
  ul <- d %>% pull(!!enquo(v)) %>% as.numeric() %>% max(., na.rm=T)
  # Resampling with replace
  # Draw 1 Sample
  sample <- sample_data_fn(dat=d, var = !!enquo(v), samps = 1, sample_size = size, resample = F)
  samp_df <- as.data.frame(sample$sample)
  # Resample from sample with replacement
  resamp_df <- sample_data_fn(dat=samp_df, var = !!enquo(v), samps = sim, sample_size = size, resample = T)
  # Plot Population
  p_pop <- d %>%
    ggplot(aes(!!enquo(v)))+
      geom_density(col ="grey60")+
      geom_rug(col = "grey60", )+
      geom_vline(xintercept = mu, col="grey40", linetype="dashed")+
      theme_void()+
      labs(title ="Population")+
      xlim(ll,ul)+
      theme(plot.title = element_text(hjust = 0))

  p_samp <- plot_distribution(the_pop = d,
                              the_samp = samp_df,
                              the_var = age)+
    labs(title ="Sample")+
      xlim(ll,ul)+
      theme(plot.title = element_text(hjust = 0))
  
  p_samps <- plot_samples(pop=d, x= resamp_df,variable = !!enquo(v), n_rows =rows)
  p_samps <- p_samps + 
    ggtitle(paste("Repeated samples with replacement\nof size N =",size,"from sample"))+
    theme(plot.title = element_text(hjust = 0.5), 
          plot.background = element_rect(
            fill = NA, colour = 'black', linewidth = 2)
          )
  
  # Resampling Distribution
  
  
  p_dist <- resamp_df %>% 
  ggplot(aes(sample_mean))+
  geom_density(col="red",aes(y= after_stat(ndensity)))+
  geom_rug(col="red")+
  geom_density(data = df, aes(!!enquo(v), y= after_stat(ndensity)),
               col="grey60")+
  geom_vline(xintercept = unique(resamp_df$pop_mean), col="red", linetype="solid")+
  geom_vline(xintercept = mu, col="grey40", linetype="dashed")+
  xlim(ll,ul)+
  theme_void()+
    labs(
      title = "Reampling Distribution"
    )+  theme(plot.title = element_text(hjust = 0))
  
   range_upper_df <- tibble(
  x = seq( ((ll+ul)/2 -5), ((ll+ul)/2 +5), length.out = 20),
  xend = seq(ll-5, ul+5, length.out = 20),
  y = rep(9, 20),
  yend = rep(1, 20)
)
p_upper <- range_upper_df %>% 
  ggplot(aes(x=x, xend = xend, y=y,yend=yend))+
  geom_segment(
    arrow = arrow(length = unit(0.05, "npc"))
  )+
  theme_void()+
  coord_fixed(ylim=c(0,10),
              xlim =c(ll-5,ul+5),clip="off")
  # Lower
  range_df <- resamp_df %>% 
  summarise(
    min = min(sample_mean),
    max = max(sample_mean),
    mean = mean(sample_mean)
  )
  
  plot_df <- tibble(
  id = 1:50,
  # x = sort(rnorm(50, mu, sd)),
  x = sort(runif(50, ll, ul)),
  xend = sort(rnorm(50, unique(resamp_df$pop_mean), se)),
  y = 9,
  yend = 1
)

p_lower <- plot_df %>%
  ggplot(aes(x,y, group =id))+
  geom_segment(aes(xend=xend, yend=yend),
               col = "red",arrow = arrow(length = unit(0.05, "npc"))
               )+
  theme_void()+
  coord_fixed(ylim=c(0,10),xlim = c(ll,ul),clip="off")

  
  design <-"##AAAA##
            ##AAAA##
            ##AAAA##
            ##BBBB##
            ##BBBB##
            ##BBBB##            
            CCCCCCCC
            CCCCCCCC
            #DDDDDD#
            #DDDDDD#
            #DDDDDD#
            #DDDDDD#
            EEEEEEEE
            EEEEEEEE
            ##FFFF##
            ##FFFF##
            ##FFFF##"
  
  fig <- p_pop / p_samp /p_upper / p_samps / p_lower / p_dist +
    plot_layout(design = design)
  return(fig)


  
  
  
}
set.seed(123)
resamp_n10 <- sample_data_fn(
  dat = sample_data_fn(samps = 1, sample_size = 10, resample = T)$sample %>%  as.data.frame(),
  sample_size = 10, 
  resample = T)
set.seed(123)
fig_n10_bs <- plot_resampling_fn(size=10)

set.seed(12345)
resamp_n30 <- sample_data_fn(
  dat = sample_data_fn(samps = 1, sample_size = 30, resample = T)$sample %>%  as.data.frame(),
  samps = 1000, sample_size = 30, resample = T)

set.seed(12345)
fig_n30_bs <- plot_resampling_fn(size=30)

set.seed(1234)
resamp_n300 <- sample_data_fn(
  dat = sample_data_fn(samps = 1, sample_size = 300, resample = T)$sample %>%  as.data.frame(),
  samps = 1000, sample_size = 300, resample = T)
set.seed(1234)
fig_n300_bs <- plot_resampling_fn(size=300)

Bootstrap SE Analytic SE
5.74 5.61
2.75 3.24
1.07 1.02

Confidence intervals

Confidence intervals

Confidence intervals:

  • provide a way of quantifying uncertainty about estimates

  • describe a range of plausible values for an estimate

  • are a function of the standard error of the estimate, and the a critical value determined by α, which describes the degree of confidence we want

Calculating a confidence interval

  • Steps
  • Code
  • Fig 1
  • Fig 2
  • Fig 3
  • Comments
  • Choose level of confidence (1−α)×100

    • α=0.05, corresponds to a 95% confidence level.
  • Derive the sampling distribution of the estimator

    • Simulation: bootstrap re-sampling
    • Analytically: computing its mean and variance.
  • Compute the standard error

  • Compute the critical value zα/2

    • as the 1.96=Φ(z0.5/2) for a 95% CI
  • Compute the lower and upper confidence limits

    • lower limit = θ^−zα/2×SE
    • upper limit = θ^+zα/2×SE
resamp_df <- 
  resamp_n10 %>% 
  bind_rows(resamp_n30) %>% 
  bind_rows(resamp_n300) %>% 
  mutate(
    `Sample Size` = factor(paste("N =",size))
    )

resamp_ci_df <- tibble(
  `Sample Size` = factor(paste("N =",c(10,30,300))),
  mu = unique(resamp_df$pop_mean),
  ll = unique(resamp_df$ll_asymp),
  ul = unique(resamp_df$ul_asymp),
  y = c(.3, .3,.5)
)

fig_ci1 <- resamp_df %>% 
  ggplot(aes(sample_mean,
             col = `Sample Size`))+
  geom_density()+
  geom_rug()+
  geom_vline(xintercept = mu_age, linetype = "dashed")+
  geom_vline(data = resamp_ci_df,
             aes(xintercept = mu,
                 col = `Sample Size`))+
  geom_segment(data = resamp_ci_df,
               aes(x = ll, xend =ul, y = y, yend =y,
                   col = `Sample Size`))+
  facet_wrap(~`Sample Size`, ncol=1)+
  theme_minimal()+
  labs(
    y = "",
    x = "Resampling Distribution",
    title = "95% Confidence Intervals"
  )
  

samp_ci_df <- samp_n10 %>% 
  bind_rows(samp_n30) %>% 
  bind_rows(samp_n300) %>% 
  mutate(
    `Sample Size` = factor(paste("N =",size))
    ) %>% 
  mutate(
    Coverage = case_when(
      pop_mean > ll & pop_mean < ul ~ "red",
      T ~ "black"
    )
  )

fig_ci2 <- samp_ci_df %>% 
  filter(sim %in% 1:100) %>% 
  filter(size == 10) %>% 
  ggplot(aes(y = sample_mean, x= sim))+
  geom_pointrange(aes(ymin = ll, ymax =ul, col=Coverage))+
  geom_hline(yintercept = mu_age, linetype = "dashed")+
  coord_flip()+
  theme_minimal()+
  guides(col = "none")+
  facet_wrap(~`Sample Size`)

fig_ci3 <- samp_ci_df %>% 
  filter(sim %in% 1:100) %>% 
  ggplot(aes(y = sample_mean, x= sim))+
  geom_pointrange(aes(ymin = ll, ymax =ul, col=Coverage))+
  geom_hline(yintercept = mu_age, linetype = "dashed")+
  coord_flip()+
  theme_minimal()+
  guides(col = "none")+
  facet_wrap(~`Sample Size`)

  • Figure 1 shows 3 confidences intervals for 3 samples of different sizes (N = 10, 30, 300). The CIs for N = 10 and N = 300, intervals contain the truth (include the population mean). By chance, the CI for N=30 falls outside of the truth.

  • Figure 2 shows that our confidence is about the property of the interval. Over repeated sampling, 95% of the intervals would contain the truth, 5% percent would not.

    • In any one sample, the population parameter either is or is not within the interval.
  • Figure 3, shows that while the width of the interval declines with the sample size, the coverage properties remains the same.

Interpreting confidence intervals

  • Confidence intervals give a range of values that are likely to include the true value of the parameter θ with probability (1−α)×100%

    • α=0.05 corresponds to a “95-percent confidence interval”
  • Our “confidence” is about the interval

  • In repeated sampling, we expect that (1−α)×100% of the intervals we construct would contain the truth.

  • For any one interval, the truth, θ, either falls within in the lower and upper bounds of the interval or it does not.

Hypothesis testing

What is a hypothesis test

  • A formal way of assessing statistical evidence. Combines

    • Deductive reasoning distribution of a test statistic, if the a null hypothesis were true

    • Inductive reasoning based on the test statistic we observed, how likely is it that we would observe it if the null were true?

What is a test statistic?

  • A way of summarizing data
    • difference of means
    • coefficients from a linear model
    • coefficients from a linear model divided by their standard errors
    • R^2
    • Sums of ranks

Note

Different test statistics may be more or less appropriate depending on your data and questions.

What is a null hypothesis?

  • A statement about the world

    • Only interesting if we reject it

    • Would yield a distribution of test statistics under the null

    • Typically something like “X has no effect on Y” (Null = no effect)

    • Never accept the null can only reject

What is a p-value?

A p-value is a conditional probability summarizing the likelihood of observing a test statistic as far from our hypothesis or farther, if our hypothesis were true.

How do we do hypothesis testing?

  1. Posit a hypothesis (e.g. β=0)

  2. Calculate the test statistic (e.g. (β^−β)/seβ)

  3. Derive the distribution of the test statistic under the null via simulation or asymptotic theory

  4. Compare the test statistic to the distribution under the null

  5. Calculate p-value (Two Sided vs One sided tests)

  6. Reject or fail to reject/retain our hypothesis based on some threshold of statistical significance (e.g. p < 0.05)

Outcomes of hypothesis tests

  • Two conclusions from of a hypothesis test: we can reject or fail to reject a hypothesis test.

  • We never “accept” a hypothesis, since there are, in theory, an infinite number of other hypotheses we could have tested.

Our decision can produce four outcomes and two types of error:

Reject H0 Fail to Reject H0
H0 is true False Positive Correct!
H0 is false Correct! False Negative
  • Type 1 Errors: False Positive Rate (p < 0.05)
  • Type 2 Errors: False negative rate (1 - Power of test)

Quantifying uncertainty in regression

Quantifying uncertainty in regression

  • Overview
  • Raw
  • SEs
  • CIs
  • Coefficient plot

How do income and education shape political participation?

Let’s fit the following model

y=β0+β1income+β2education+ϵ

m1 <- lm_robust(dv_participation ~   education + income, df)

And unpack the output

tidy(m1) %>% 
  mutate_if(is.numeric, \(x) round(x, 3)) -> m1_sum
m1_sum
         term estimate std.error statistic p.value conf.low conf.high   df
1 (Intercept)    0.312     0.080     3.910   0.000    0.155     0.468 1684
2   education    0.167     0.024     6.891   0.000    0.119     0.214 1684
3      income    0.007     0.010     0.671   0.502   -0.014     0.028 1684
           outcome
1 dv_participation
2 dv_participation
3 dv_participation
htmlreg(m1,include.ci=F) 
Statistical models
  Model 1
(Intercept) 0.31***
  (0.08)
education 0.17***
  (0.02)
income 0.01
  (0.01)
R2 0.04
Adj. R2 0.04
Num. obs. 1687
RMSE 1.29
***p < 0.001; **p < 0.01; *p < 0.05
htmlreg(m1,include.ci=T) 
Statistical models
  Model 1
(Intercept) 0.31*
  [ 0.16; 0.47]
education 0.17*
  [ 0.12; 0.21]
income 0.01
  [-0.01; 0.03]
R2 0.04
Adj. R2 0.04
Num. obs. 1687
RMSE 1.29
* 0 outside the confidence interval.
m1_coefplot <- m1_sum %>% 
  ggplot(aes(term, estimate))+
  geom_pointrange(aes(ymin = conf.low, ymax =conf.high))+
  geom_hline(yintercept = 0, linetype = "dashed")+
  coord_flip()+
  labs(
    y = "Estimate",
    x = "",
    title = "Coefficient plot"
  )+
  theme_minimal()

Estimates

  • Estimate
  • Comments

The estimate column are the regression coefficients, β

Recall, lm_robust() calculates these:

β^=(X′X)−1X′y

Tip

βs describe substantive relationships between predictors (income, education) and the outcome (political participation)

coef(m1)
(Intercept)      income   education 
0.311609712 0.007034253 0.166755964 
X <- model.matrix(m1,data=df)
y <- model.frame(m1)$dv_participation
betas <- solve(t(X)%*%X)%*%t(X)%*%y
betas
                   [,1]
(Intercept) 0.311609712
income      0.007034253
education   0.166755964

A unit increases in education is associated with about 0.16 more acts of political participation, while a unit increase in income is associated with 0.007 more acts of participation.

Note that both income and education are measured with ordinal scales

get_value_labels(df$educ)
    No HS credential High school graduate         Some college 
                   1                    2                    3 
       2-year degree        4-year degree            Post-grad 
                   4                    5                    6 

Such that it might be unreasonable to assume cardinality (going from a 1 to 2 is the same as going from a 3 to 4)

  • Consider treating as factor / recoding variable

Standard errors & confidence intervals

  • SEs and CI
  • Code
  • SEs
  • SEs
  • Comments

The default standard errors from lm_robust() are calculated as follows

SEβ=(X′X)−1X′diag[ei21−hii]X(X′X)−1

Which we could also obtain via bootstrapping.

The confidence intervals are calculated as follows:

CI=β±1.96×SEβ

# 0 Set seed
set.seed(123)

# 1,000 bootstrap samples
boot <- modelr::bootstrap(df %>% select(dv_participation, income, education), 1000)
# Estimate Boostrapped Models
m1_bs <- purrr::map(boot$strap, ~ lm_robust(dv_participation ~  income + education, data = .))

# Tidy coefficients
m1_bs_df <- map_df(m1_bs, tidy, .id = "id")
m1_asymp_df <- tidy(m1) %>% 
  mutate(
    term = factor(term)
  ) %>% 
  select(term,estimate, std.error,conf.low, conf.high) %>% 
  mutate(
    ll = conf.low,
    ul = conf.high,
    y = 1.1,
    type = "Analytic"
  )

m1_bs_ci_df <- m1_bs_df %>%
  mutate(
    term = factor(term)
  ) %>% 
  group_by(term) %>% 
  summarise(
  beta = mean(estimate,na.rm=T),
  se = sd(estimate,na.rm=T)
  ) %>% 
  mutate(
  ll = beta - 1.96*se,
  ul = beta + 1.96*se,
  y = 1.05,
  type = "Bootstrap"
) 

# Compare SEs

compare_m1_se_tab <-
  tibble(
    `Predictor` = m1_bs_ci_df$term,
    Estimate = m1_asymp_df$estimate,
    `SE` = m1_asymp_df$std.error,
     `CI` = paste("[", round(m1_asymp_df$ll,2),
                  "; ", round(m1_asymp_df$ul,2),"]",
                  sep =""),
    `SE ` = m1_bs_ci_df$se,
    `CI ` = paste("[", round(m1_bs_ci_df$ll,2),
                  "; ", round(m1_bs_ci_df$ul,2),"]",
                  sep =""),
  )


# Figure
fig_m1_bs <- m1_bs_df %>% 
  ggplot(aes(estimate))+
  geom_density(aes(y=after_stat(ndensity)))+
  geom_rug()+
  geom_vline(xintercept = 0, linetype = "dashed")+
  facet_wrap(~term,scales = "free")+
  theme_minimal()+
  ylim(0, 1.2)+
  geom_vline(
    data = m1_asymp_df,
    aes(xintercept = estimate)
  ) +
  geom_segment(
    data = m1_bs_ci_df,
    aes(x = ll, xend = ul,
        y = y, yend = y,
        col = "Bootstrap")
    
  ) +
  geom_segment(
    data = m1_asymp_df,
    aes(x = ll, xend = ul,
        y = y, yend = y,
        col = "Analytic")
    
  ) +
  labs(
    col = "Confidence Interval",
    x = "Bootstrapped Sampling Distribution\n of Coefficients"
  )
Analytic
Bootstrap
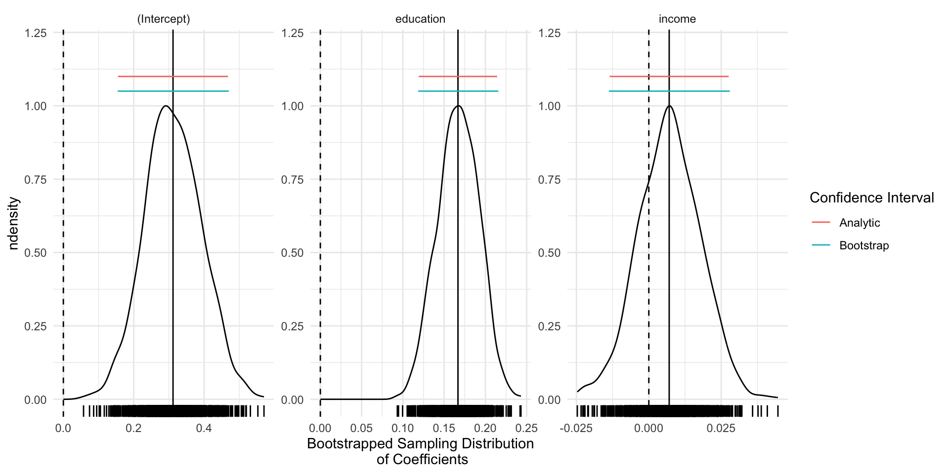
Predictor Estimate SE CI SE CI
(Intercept) 0.3116 0.0797 [0.16; 0.47] 0.0805 [0.15; 0.47]
education 0.1668 0.0242 [0.12; 0.21] 0.0248 [0.12; 0.22]
income 0.0070 0.0105 [-0.01; 0.03] 0.0107 [-0.01; 0.03]

  • The main takeaway here is that for linear models, bootstrapped SEs and CIs are quite similar to those obtained via analytically (via math and asymptotic theory)

  • For common estimators and large samples, we’ll generally use analytic SEs (quicker)

  • For less common estimators (ratios of estimates), analytic estimates of the SEs may not exist. Bootstrapping will still provide valid SEs, provided we “sample from the sample, as the sample was drawn from the population”

Test statistics and p-values

  • Overview
  • Code
  • Comments

The test statistic (“t-stat”) reported by lm() and lm_robust() is our observed coefficient, β^ minus our hypothesized value β (e.g. 0), divided by the standard error of β^.

t=β^−βSE^β^∼Students’s t with n−k degrees of freedom Which follows a t distribution – like a Normal with “heavier tails” (e.g. more probability assigned to extreme values)

# Calculate t-stats

t_stat_df <- tibble(
  x= seq(-3,3,length.out = 20),
  p = dt(x,df=m1$df[1] )
)


m1_tstat_educ <- t_stat_df %>% 
  ggplot(aes(x=x,y=p))+
  stat_function(
    fun= dt, 
    args = list(df = m1$df[1]),
    geom = "line",
    xlim = c(
      min(c(-3, abs(m1$statistic[2])*-1 -1)),
      max(c(3, abs(m1$statistic[2])+1))
      )
  )+
  stat_function(
    fun= dt, 
    args = list(df = m1$df[1]),
    geom = "area",
    fill = "blue",
    alpha = .5,
    xlim = c(m1$statistic[2],4)
  )+
  stat_function(
    fun= dt, 
    args = list(df = m1$df[1]),
    geom = "area",
    fill = "blue",
    alpha = .5,
    xlim = c(-4, abs(m1$statistic[2])*-1)
  )+
  geom_vline(xintercept = m1$statistic[2],
             col = "blue",
             linetype = "dashed")+
   geom_vline(xintercept = m1$statistic[2]*-1,
             col = "blue",
             linetype = "dashed")+
  theme_minimal()+
  labs(
    title = "Education",
    subtitle = paste("t-stat = ",round(m1$statistic[2],3),
    "\nPr(>|t|) = ",
    format(round(m1$p.value[2],3),nsmall = 3),
    sep = ""
    ),
    x = "Distribution of t-stat under the Null"
  )

m1_tstat_income <- t_stat_df %>% 
  ggplot(aes(x=x,y=p))+
  stat_function(
    fun= dt, 
    args = list(df = m1$df[1]),
    geom = "line",
    xlim = c(
      min(c(-3, abs(m1$statistic[3])*-1 -1)),
      max(c(3, abs(m1$statistic[3])+1))
      )
  )+
  stat_function(
    fun= dt, 
    args = list(df = m1$df[1]),
    geom = "area",
    fill = "blue",
    alpha = .5,
    xlim = c(m1$statistic[3],4)
  )+
  stat_function(
    fun= dt, 
    args = list(df = m1$df[1]),
    geom = "area",
    fill = "blue",
    alpha = .5,
    xlim = c(-4, abs(m1$statistic[3])*-1)
  )+
  geom_vline(xintercept = m1$statistic[3],
             col = "blue",
             linetype = "dashed")+
   geom_vline(xintercept = m1$statistic[3]*-1,
             col = "blue",
             linetype = "dashed")+
  theme_minimal()+
  labs(
    title = "Income",
    subtitle = paste("t-stat = ",round(m1$statistic[3],3),
    "\nPr(>|t|) = ",
    format(round(m1$p.value[3],3),nsmall = 3),
    sep = ""
    ),
    x = "Distribution of t-stat under the Null"
  )

fig_pvalue <- m1_tstat_educ + m1_tstat_income

# Compare Pvalues

compare_m1_pvalue <-
  tibble(
    `Predictor` = m1_bs_ci_df$term,
    Estimate = m1_asymp_df$estimate,
    SE = m1_sum$std.error,
    `t-stat` = m1_sum$statistic,
     `Pr(>abs(t))` = format(round(m1_sum$p.value,3), nsmall=3)
  )
Predictor Estimate SE t-stat Pr(>abs(t))
(Intercept) 0.312 0.080 3.910 0.000
education 0.167 0.024 6.891 0.000
income 0.007 0.010 0.671 0.502

[1] 4
  • The p-value for the coefficient on education is less than 0.05, while the p-value for income is 0.50.

  • If there was no relationship between education and participation (H0:β2=0), it would be quite unlikely that we would observed a test statistic of 6.89 or larger.

  • Similarly, test statistics as larger or larger than 0.671 occurs quite frequently in a world where there is no relationship (H0:β3=0) between income and participation.

  • Thus we reject the null hypothesis for education, but fail to reject the null hypothesis for income in this model.

Predicted values

  • Overview
  • Code
  • Table
  • Fig
  • Comments

Let’s explore whether income and education condition each other’s relationship with participation using the following interaction model

y=β0+β1educ+β2inc+β3educ×inc+ϵ

To help our interpretations we’ll produce plots of predicted values of participation, at varying levels of income and education.

# Fit model
m2 <- lm_robust(dv_participation ~ education*income, df)


# Regression Table
m2_tab <- htmlreg(
  m2, 
  include.ci = F,
  digits = 3,
  stars = c(0.05, 0.10)
                    )

# Predicted values

# Data frame of values we want to make predictions at
pred_df <-expand_grid(
  income = sort(unique(df$income)),
  education = quantile(df$education, na.rm = T)[c(2,4)]
)

# Combine model predictions
pred_df <- cbind(pred_df, predict(m2, pred_df,
                                  interval = "confidence")$fit)

# Plot predicted values
fig_m2_pred <- pred_df %>% 
  mutate(
    Education = ifelse(education == 2, "High school","College")
  ) %>% 
  ggplot(aes(income, fit, group=Education))+
  geom_ribbon(aes(ymin = lwr, ymax = upr,
                  fill = Education),
              alpha=.5)+
  geom_line()+
  theme_minimal()+
  labs(y = "Predicted Participation",
       x = "Income",
       title = "")
Statistical models
  Model 1
(Intercept) 0.060
  (0.151)
education 0.242**
  (0.050)
income 0.048**
  (0.024)
education:income -0.011*
  (0.006)
R2 0.042
Adj. R2 0.040
Num. obs. 1687
RMSE 1.286
**p < 0.05; *p < 0.1

Low income individuals with a college degree participate at significantly higher rates than individuals with a similar levels of income with only a high school diploma.

Alternatively, we might say that the college educated tend to participate at similar levels, regardless of their level of income, while income has a marginally positive relationship with participation for those without college degrees.

Note

Is this a causal relationship? What assumptions would we need to make a causal claim about the effects of education on participation?

Review: Lab 8

Lab 8: Robust SEs and FEs

  • Overview
  • Code
  • FE Models
  • Last week we explored the effects of:
    • Cluster robust standard errors
    • Fixed effects for state and year
  • Today, we examine the interaction models at the heart of the Grumbach and Hill’s claims
# Load data

load(url("https://pols1600.paultesta.org/files/data/cps_clean.rda"))

# Recode data


presidential_elections <- seq(1980, 2016, by = 4)
 
cps %>% 
  mutate(
    age_group = fct_relevel(age_group, "65+"),
    SDR = ifelse(sdr == 1, "SDR","non-SDR"),
    election_type = ifelse(year %in% presidential_elections, "General","Midterm"),
  ) -> cps

# ---- m1: Simple OLS regression ----
m1 <- lm_robust(dv_voted ~ sdr, 
                data = cps,
                se_type = "classical",
                try_cholesky = T)

# ---- m2: Simple OLS with robust standard errors ----
m2 <- lm_robust(dv_voted ~ sdr, 
                data = cps,
                se_type = "stata",
                try_cholesky = T)

# ---- m3: Two-way Fixed Effects for State and Year ----
m3 <- lm_robust(dv_voted ~ sdr,
                data = cps,
                fixed_effects = ~ st + year,
                se_type = "stata",
                try_cholesky = T)

# ---- m4: TWFE for State and Year and cluster robust SEs ----

m4 <- lm_robust(dv_voted ~ sdr,
                data = cps,
                fixed_effects = ~ st + year,
                se_type = "stata",
                clusters = st,
                try_cholesky = T)
Statistical models
  Model 1 Model 2 Model 3 Model 4
(Intercept) 0.54787*** 0.54787***    
  (0.00037) (0.00038)    
sdr 0.06159*** 0.06159*** 0.00671*** 0.00671
  (0.00110) (0.00108) (0.00185) (0.01405)
R2 0.00157 0.00157 0.02845 0.02845
Adj. R2 0.00157 0.00157 0.02841 0.02841
Num. obs. 1988501 1988501 1988501 1988501
RMSE 0.49658 0.49658 0.48986 0.48986
N Clusters       49
***p < 0.001; **p < 0.01; *p < 0.05
  • Fixed effects drastically reduce the overall size of the effect of SDR

  • Robust standard errors change our estimates of uncertainty.

  • Adjusting for:

    • Simple non-constant error variance → no difference
    • Cluster → non-significant result
  • Generally prefer conservative models (e.g. m4)

SDR and Age

Grumbach and Hill, however, are interested in a different question, namely, whether the effects of same day registration vary by age.

Formally, we we can describe these models using an interaction model:

yist=β0+αs⏞FE State+γt⏟FE Year+β1sdrst⏞ME of SDR for 65++∑k=18−14k=55−64βksdrst×ageist⏟Δ in ME of SDR for Age +Xβ⏞Controls+ϵist Where the marginal effect of SDR varies based on the age of the respondent.

Marginal Effects: General

The marginal effect of any variable in a multiple regression as the partial derivative of the outcome with respect to that variable.

y=β0+β1x+β2z∂y∂x=0+β1∗(1)+0∂y∂x=β1

In multiple regression with no interactions between terms, the βs correspond to marginal effects.

Marginal Effects: Interactions

Now consider a multiple regression with an interaction between two variables x and z

y=β0+β1x+β2z+β3x∗z

Taking the partial derivative of y with respect to x (∂y∂x), there are now two terms with x in them:

y=β0+β1x+β2z+β3x∗z∂y∂x=0+β1∗(1)+0+β3∗(1)∗z∂y∂x=β1+β3z

And the marginal effect of x now depends on value of z at which we evaluate the model.

Marginal Effects: SEs for Interactions

The standard error of this marginal effect of x (and z…) in this model:

y=β0+β1x+β2z+β3x∗z

is now a function of the variance and covariance of β1 and β3 and the value of the conditioning term z

Var(∂y∂x)=Var(β1)+z2Var(β3)+2×zCov(β1,β3)

Mariginal Effects: Grumbach and Hill

In G&H’s models, the ME of SDR varies with age.

yist=β0+αs⏞FE State+γt⏟FE Year+β1sdrst⏞ME of SDR for 65++∑k=18−14k=55−64βksdrst×ageist⏟Δ in ME of SDR for Age +Xβ⏞Controls+ϵist

Since 65+ is the excluded/reference category:

Marginal Effect of SDR for 65+=β1

For 18-24 year olds the quantity of interest is the sum of:

Marginal Effect of SDR for 18-24=β1+βsdr×18−24

The SEs of the Marginal effects is function of the variances and covariances of both β1 and βsdr×age

Lab 8: Robust SEs and FEs

  • Overview
  • Figure 3
  • G&H

Let’s estimate the interaction models used by G&H and recreate figure 3 calculating the correct standard errrors for the interactions

m1gh <- lm_robust(dv_voted ~ sdr*age_group, 
                  data = cps,
                  fixed_effects = ~ st + year,
                  se_type = "stata",
                  clusters = st,
                  try_cholesky = T
                  )


m2gh <- lm_robust(dv_voted ~ sdr*age_group +
                    factor(race) + is_female +
                    income + education, 
                  data = cps,
                  fixed_effects = ~ st + year,
                  se_type = "stata",
                  clusters = st,
                  try_cholesky = T
                  )


# ---- Function to calculate marginal effect and SE of interactions ----

me_fn <- function(mod, cohort, ci=0.95){
  # Confidence Level for CI
  alpha <- 1-ci
  z <- qnorm(1-alpha/2)
  
  # Age (Always one for indicator of specific cohort)
  age <- 1
  
  # Variance Covariance Matrix from Model
  cov <- vcov(mod)
  
  # coefficient for SDR (Marginal Effect for reference category: 65+)
  b1 <- coef(mod)["sdr"]
  
  # If age is one of the interactions
  if(cohort %in% c("18-24","25-34","35-44","45-54","55-64")){
    # get the name of the specific interaction
    the_int <- paste("sdr:age_group",cohort,sep="")
    # the coefficient on the interaction
    b2 <- coef(mod)[the_int]
    # Calculate marginal effect for age cohort
    me <- b1 + b2*age
    me_se <- sqrt(cov["sdr","sdr"] + age^2*cov[the_int,the_int] + 2*age*cov["sdr",the_int])
    ll <- me - z*me_se
    ul <- me + z*me_se
  }
  if(!cohort %in% c("18-24","25-34","35-44","45-54","55-64")){
    me <- b1 
    me_se <- mod$std.error["sdr"]
    ll <- mod$conf.low["sdr"]
    ul <- mod$conf.high["sdr"]
  }

  # scale results to be percentage points
  res <- tibble(
    Age = cohort,
    Effect = me*100,
    SE = me_se*100,
    ll = ll*100,
    ul = ul*100
  )
  return(res)


}


## List of age cohorts
the_age_groups <- levels(cps$age_group)

## Model 1: No controls
## Estimate Marginal effect for each age cohort
the_age_groups %>% 
  purrr::map_df(~me_fn(m1gh, cohort=.)) %>% 
  # Add labels for plotting
  mutate(
    Age = factor(Age),
    Model = "No controls"
  ) -> fig3_no_controls

## Model 3: Controls for Education, Income, Race,and Sex 
## Estimate Marginal effect for each age cohort
the_age_groups %>% 
  purrr::map_df(~me_fn(m2gh, cohort=.)) %>% 
  # Add labels for plotting
  mutate(
    Age = factor(Age),
    Model = "With controls"
  ) -> fig3_controls
  
## Combine estimates into data frame for plotting
fig3_df <- fig3_no_controls %>% bind_rows(fig3_controls)

## Recreate Figure 3


fig3_df %>% 
  ggplot(aes(Age, Effect))+
  geom_point()+
  geom_linerange(aes(ymin = ll, ymax =ul))+
  geom_hline(yintercept = 0, linetype = "dashed")+
  facet_wrap(~Model)+
  theme_minimal() -> fig3
Statistical models
  Model 1 Model 2
sdr 0.0120 0.0004
  (0.0162) (0.0128)
age_group18-24 -0.3518*** -0.4125***
  (0.0061) (0.0051)
age_group25-34 -0.2149*** -0.3198***
  (0.0060) (0.0040)
age_group35-44 -0.1026*** -0.2179***
  (0.0063) (0.0038)
age_group45-54 -0.0431*** -0.1450***
  (0.0059) (0.0038)
age_group55-64 0.0064 -0.0642***
  (0.0047) (0.0036)
sdr:age_group18-24 0.0142 0.0472***
  (0.0108) (0.0081)
sdr:age_group25-34 0.0003 0.0219**
  (0.0137) (0.0076)
sdr:age_group35-44 -0.0142 0.0074
  (0.0162) (0.0087)
sdr:age_group45-54 -0.0147 0.0001
  (0.0120) (0.0068)
sdr:age_group55-64 -0.0149 -0.0108
  (0.0096) (0.0062)
factor(race)200   0.0518***
    (0.0081)
factor(race)300   -0.0548***
    (0.0118)
factor(race)650   -0.1619***
    (0.0305)
factor(race)651   -0.1784***
    (0.0090)
factor(race)652   -0.1277***
    (0.0188)
factor(race)700   -0.0916***
    (0.0236)
factor(race)801   0.0130
    (0.0110)
factor(race)802   -0.0233*
    (0.0097)
factor(race)803   -0.0406
    (0.0277)
factor(race)804   -0.0566
    (0.0403)
factor(race)805   0.0548
    (0.0291)
factor(race)806   -0.0432
    (0.0520)
factor(race)807   -0.0486
    (0.0574)
factor(race)808   -0.0593
    (0.0473)
factor(race)809   -0.1125***
    (0.0271)
factor(race)810   0.0169
    (0.0340)
factor(race)811   -0.0932
    (0.1396)
factor(race)812   -0.0474
    (0.0891)
factor(race)813   -0.0445***
    (0.0076)
factor(race)814   -0.0316
    (0.1223)
factor(race)815   -0.1124
    (0.0601)
factor(race)816   0.2548
    (0.1910)
factor(race)817   0.1245
    (0.1979)
factor(race)818   0.8195***
    (0.0074)
factor(race)819   -0.0831
    (0.1869)
factor(race)820   0.0325
    (0.0592)
factor(race)830   -0.1871**
    (0.0667)
is_female   0.0240***
    (0.0017)
income   0.0093***
    (0.0002)
education   0.0895***
    (0.0016)
R2 0.0864 0.1707
Adj. R2 0.0864 0.1706
Num. obs. 1980510 1616508
RMSE 0.4748 0.4515
N Clusters 49 49
***p < 0.001; **p < 0.01; *p < 0.05

  • Why the differences?
    • Differences in how we calculated the SEs for marginal effects
    • Differences in coding of age and other covariates
  • Same substantive pattern, but somewhat weaker…

References

POLS 1600

1
POLS 1600 Quantifying uncertainty: Confidence Intervals & Hypothesis Tests Updated Apr 22, 2025

  1. Slides

  2. Tools

  3. Close
  • POLS 1600
  • Overview
  • Class Plan
  • Announcements
  • Setup: Packages for today
  • Goals:
  • Sampling distributions and standard errors
  • Populations and samples
  • Estimators, estimates, and statistics
  • Distrubtions and standard errors
  • Sampling distributions
  • Standard errors
  • How do we calculate a standard error from a single sample?
  • Calculating standard errors
  • Confidence intervals
  • Confidence intervals
  • Calculating a confidence...
  • Interpreting confidence intervals
  • Hypothesis testing
  • What is a hypothesis test
  • What is a test statistic?
  • What is a null hypothesis?
  • What is a p-value?
  • How do we do hypothesis testing?
  • Outcomes of hypothesis tests
  • Quantifying uncertainty in regression
  • Quantifying uncertainty in regression
  • Estimates
  • Standard errors &...
  • Test statistics and p-values
  • Predicted values
  • Review: Lab 8
  • Lab 8: Robust SEs and FEs
  • SDR and Age
  • Marginal Effects: General
  • Marginal Effects: Interactions
  • Marginal Effects: SEs for Interactions
  • Mariginal Effects: Grumbach and Hill
  • Lab 8: Robust SEs and FEs
  • References
  • f Fullscreen
  • s Speaker View
  • o Slide Overview
  • e PDF Export Mode
  • r Scroll View Mode
  • b Toggle Chalkboard
  • c Toggle Notes Canvas
  • d Download Drawings
  • ? Keyboard Help